Мы используем cookie-файлы
Это делается для более удобного поиска и использования наших сервисов. Подробнее — в «Политике использования файлов cookie».Юридическая информацияЖК Premium Residents
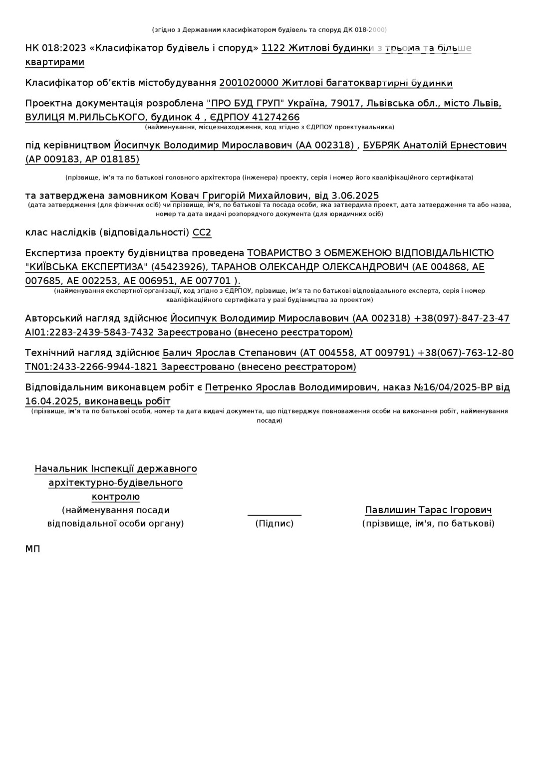
Документы на строительство Разрешение на выполнение строительных работ ЛВ012250605951 |

Застройщик
Resident Development
Отдел продаж работает
Пн-Пт · 9:00-18:00
Сб · 10:00-16:00
95%
Рейтинг застройщика от DIM.RIA| Работает с DIM.RIA больше 5 лет |
| У застройщика 12 ЖК |
Обирай солов'їну на DIM.RIA
Шукай майбутнє житло в Україні – українською