Мы используем cookie-файлы
Это делается для более удобного поиска и использования наших сервисов. Подробнее — в «Политике использования файлов cookie».Юридическая информацияЖК Art Misto Smart
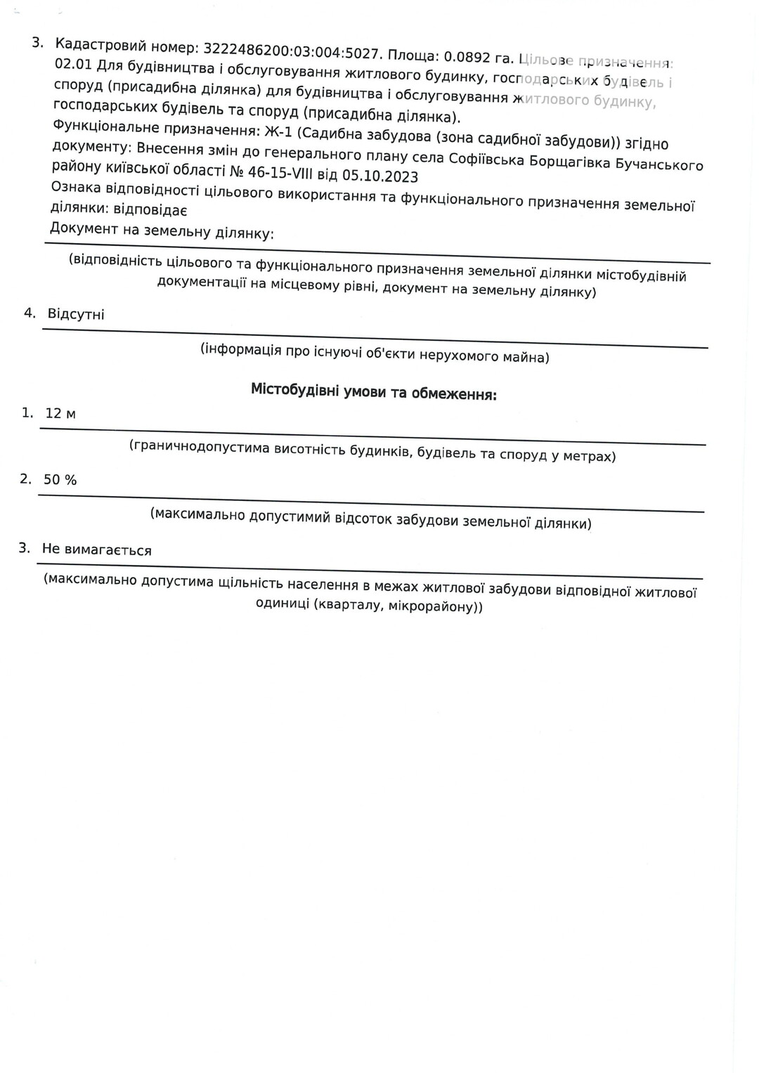
Кадастровый номер 3222486200:03:004:5027 |
Кадастровый номер 3222486200:03:004:5027 |
Кадастровый номер 3222486200:03:004:5027 |
Градостроительные условия и ограничения А3562079149369591248 от 06.02.25 |
Градостроительные условия и ограничения А3562079149369591248 от 06.02.25 |

Застройщик
Ukrainian Development Company
Отдел продаж не работает
78%
Рейтинг застройщика от DIM.RIA| Работает с DIM.RIA больше 5 лет |
| У застройщика 4 ЖК |
DIM.RIA.comНовостройкиКвартиры в новостройках Софиевской БорщаговкиЖК Art Misto SmartЮридическая информация
Обирай солов'їну на DIM.RIA
Шукай майбутнє житло в Україні – українською